SECTION F: SUBSTITUTION INTO AN EQUATION
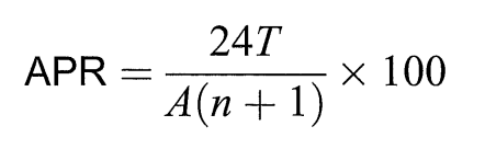
APR Calculation
Fortress Finance is a company which offers small loans to customers.
A formula which may be used to work out the APR charged when money is borrowed and repaid monthly is
where T is the total interest charged,
A is the amount borrowed and
n is the total number of repayments to be made.
Dave borrows £ 8400 for one year with a monthly repayment of £838.78.
Give your APR to 3 significant figures and monetary values in pounds and pence
IMPORTANT NOTES:
- You MUST ALWAYS write down the substitution that you are putting into your calculator on your exam paper. If you don't you WILL lose marks.
- The answers given by the site are currently not always to the correct precision. For the avoidance of doubt give all answers to 3 SIGNIFICANT FIGURES UNLESS OTHERWISE STATED. Monetary values should always be given PRECISELY to the NEAREST PENNY, rounded to 2dp correctly.








