2010 06 Jun H Calc Q17
| Previous Question Next Question | Written Answer | Mark Scheme Model Answers |
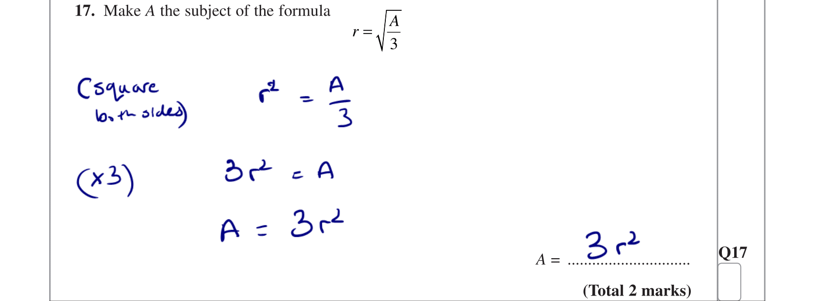
Topic: Change the subject of a formula

Model Answer
Mark SchemeModel Answers
| Previous Question Next Question | Written Answer | Mark Scheme Model Answers |

Mark Scheme